Measuring out quasi-local integrals of motion from entanglement

Abstract

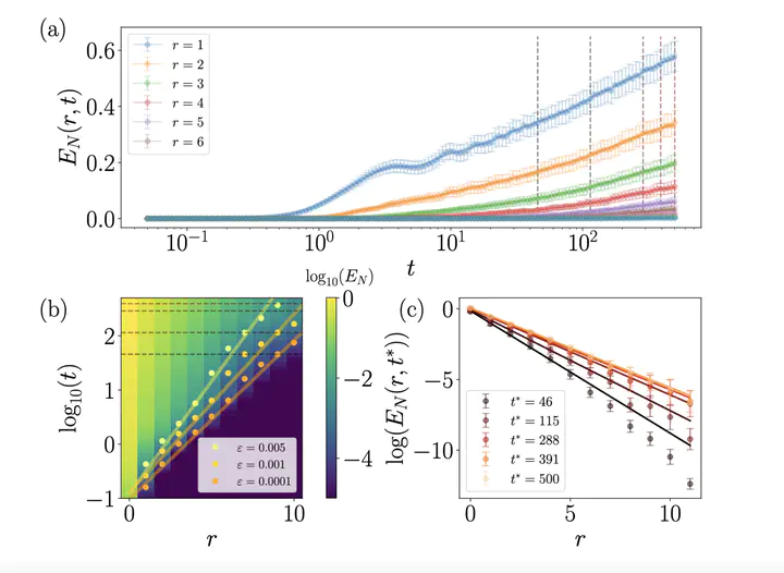
Quasi-local integrals of motion are a key concept underpinning the modern understanding of many-body localisation, an intriguing phenomenon in which interactions and disorder come together. Despite the existence of several numerical ways to compute them - and astoundingly in the light of the observation that much of the phenomenology of many properties can be derived from them - it is not obvious how to directly measure aspects of them in real quantum simulations; in fact, the smoking gun of their experimental observation is arguably still missing. In this work, we propose a way to extract the real-space properties of such quasi-local integrals of motion based on a spatially-resolved entanglement probe able to distinguish Anderson from many-body localisation from non-equilibrium dynamics. We complement these findings with a new rigorous entanglement bound and compute the relevant quantities using tensor networks. We demonstrate that the entanglement gives rise to a well-defined length scale that can be measured in experiments.

Publication
In Communications Physics
Dr Steven J. Thomson
Dr Steven J. Thomson
EPSRC Open Fellow, University of Edinburgh

Theoretical quantum condensed matter physicist, currently an EPSRC Open Fellow at the University of Edinburgh.

Related